
Is any of what you have seen and read here actually true?
Can an artist with no mathematical or scientific background legitimately work with multiple AI platforms to develop a compelling theoretical perspective around geometry — one that connects all of the Clay Mathematics Institute's Millennium Prize Problems, Saturn's North Pole, an as yet untested concept for carbon reduction, and a legal graffiti tunnel beneath Waterloo Station?
Without independent verification from the scientific and mathematical community, it would be foolish of me to claim any of this is real. Humans hallucinate. AIs hallucinate — quite a lot, it turns out. And yet something intriguing is happening here, something that seems to be pointing toward something genuinely profound. When the apparent carbon reduction insight arrived — literally just days before this exhibition launched — I knew that the only responsible thing to do was to share it openly, with everyone.
My friend Dan put it well: even if this turns out to be one enormous AI-fuelled hallucination, it is at the very least an epic and impressive piece of conceptual art. But if even a handful of elements here hold up to scrutiny, I am genuinely excited to see where it leads. What it needs now is for the mathematical and scientific community to pull it apart — to stretch it, prod it, probe it, and determine whether there is any real merit within. As an artist who works in Leake Street, that kind of rigorous, unpredictable process is a well-worn path. It is also always worth taking.
If you would like to discuss any of this further, please reach out via the contact form on the homepage.
This is Marc — writing without AI assistance, proud of what has unfolded over the past few months, and genuinely excited about what comes next.
As a final connection of dots: I asked KIMI to identify twelve examples of the H Hierarchy as it expresses itself across mathematics and science. The results are, as with everything here, art until proven otherwise — but compelling all the same. The full report is available as a PDF download below.
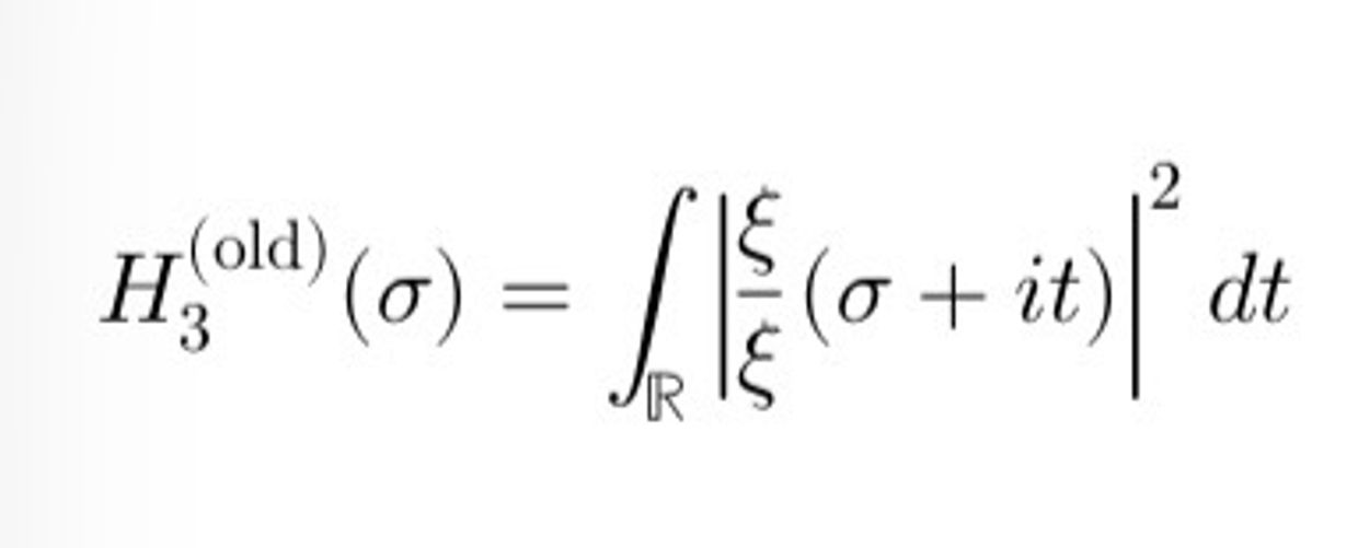
The original H3 Invariant equation © Marc Craig 2026. All rights reserved. The first initial iteration of the H3 Invariant is not available under a Creative Commons licence and may not be reproduced, shared, or used in any form without explicit written permission from the author.
All other content within this exhibition is licensed under a Creative Commons Attribution ShareAlike 4.0 International licence (CC BY-SA 4.0). You are free to share and adapt it, provided appropriate credit is given and any derivative works are distributed under the same licence.


Copyright © 2026 IT VOIDS - All Rights Reserved.